PHERAstar FSX
Powerful and most sensitive HTS plate reader
微孔板有不同的颜色、材质、孔密度和孔几何形状,本文将探讨哪种规格最适合您的实验应用。
微孔板是一种实验室器具,由带有多个凹槽(孔)的板体构成,这些孔可用作小型样品管。微孔板也被称为微量滴定板或多孔板,常见规格有 6 孔、12 孔、24 孔、48 孔、96 孔、384 孔和 1536 孔,其中 96 孔是最常用的规格。根据孔的大小不同,每个孔可容纳微升至毫升体积的样品。
微孔板能够简化多种样品的制备、处理、检测、加工和管理流程。如今,它已成为生命科学、药物研发、临床诊断和分析研究领域的标准器具。酶联免疫吸附试验(ELISA)是最常用的应用之一。此外,在生命科学领域,微孔板的用途广泛且多样,包括样品储存、过滤、分离、混合,以及样品的检测与定量分析等。
1951 年,匈牙利微生物学家Gyula Takátsy博士(图 1)发明了微孔板。当时流感疫情导致实验室器具短缺,Takátsy博士需要找到经济实惠的解决方案来推进临床检测工作。他发现,大规模批量检测成本过高,而将多个样品并列放置可大幅提高检测通量。于是,他手工将 8 行、每行 12 个孔(8×12=96 个孔)的结构拼接在一起,并用金属丝环固定,从而制作出第一块微孔板 —— 这种设计大大缩短了移液操作的时间。
20 世纪 60 年代,他的这项发明逐渐得到广泛认可,并成为全球实验室生物医学检测中的标准器具。
20 世纪 80 年代末,注塑成型的微孔板问世,进一步推动了其普及。注塑工艺降低了单位成本,同时提高了生产效率。在随后的几年里,微孔板不断改进,衍生出多种规格,以满足科学界的不同需求。
20 世纪 90 年代,生物分子筛选协会(SBS)开始致力于微孔板特性和形状的标准化工作,涉及的特性主要包括孔的数量、形状、尺寸,以及板体的整体尺寸、材质等。2003 年,美国国家标准协会(ANSI)提出并发布了一套标准化特性参数,其中包含孔的直径、深度、间距以及板体整体尺寸(即 127.76 毫米 ×85.48 毫米)¹。
标准化推动了微孔板的更广泛应用,尤其为实验室自动化和实验室仪器生产带来了便利。因此,微孔板作为药物研发和生命科学研究的高效辅助工具,受欢迎程度进一步提升。据估算,仅 2000 年一年,全球微孔板的使用量就达 到了约1.25 亿块 ²。
2010 年,生物分子筛选协会(SBS)与实验室自动化协会(ALA)合并,成立了实验室自动化与筛选协会(SLAS)。自此,微孔板标准被称为 ANSI/SLAS 。
除孔数外,微孔板还具有不同的材质、颜色,孔的形状和容积也各不相同。由于可选规格繁多,有时很难为特定实验选择最优的微孔板。本文将总结微孔板的主要特性,重点聚焦其在分光光度法应用中的表现。
不同制造商生产的微孔板,在尺寸和孔位上可能存在细微差异,但所有微孔板的底座尺寸均保持一致。孔通常呈矩形矩阵排列,常见规格有 6 孔、12 孔、24 孔、48 孔、96 孔、384 孔和 1536 孔(见图 2)。此外,还有 3456 孔的规格,但并不常用。
每个孔的加样容积取决于微孔板的规格。最常用的 96 孔板,每孔最大加样容积可达 300 微升。高密度规格的微孔板通常用于实验微型化场景:比如384 孔板(每孔最大容积 100 微升)、1536 孔板(每孔最大容积 15 微升)甚至 3456 孔板(每孔最大容积 5 微升),不仅能同时检测更多样品,还能减少试剂用量,从而降低成本(见表 1)。
一般而言,为确保检测结果高效且可靠,建议每孔的最低加样量为最大容积的三分之一。因此,标准 96 孔微孔板的加样量不应低于 100 微升。
96 孔半面积微孔板(每孔最大容积 170 微升)是一种折中方案。其孔的大小与 384 孔板一致,但底座尺寸和孔位与 96 孔板相同。由于孔体积更小,这种微孔板可减少高达 50% 的样品用量。当实验需要少量样品,但无需自动化操作和高检测通量时,96 孔半面积板可作为 384 孔板的替代选择。
384 孔板也有低容积(或小容积)规格(有时也称为 "高基"),其设计理念与 96 孔半面积板类似:孔的大小与 1536 孔板相同,底座尺寸和孔位则与标准 384 孔板一致。与标准 384 孔板相比,低容积 384 孔板的样品用量可减少 50% 以上。此外,孔的形状也会受到影响:标准 384 孔板的孔为方形,而低容积 384 孔板的孔为圆形。
表 1:不同规格微孔板的加样容积对比
| 孔数 |
建议加样容积 |
| 6 孔 | 2-5 毫升 |
| 12 孔 | 2-4 毫升 |
| 24 孔 | 0.5-3 毫升 |
| 48 孔 | 0.5-1.5 毫升 |
| 96 孔 | 100-300 微升 |
| 96 孔半面积 | 50-170 微升 |
| 384 孔 | 30-100 微升 |
| 384 孔低 / 小容积 | 5-25 微升 |
| 1536 孔 | 5-25 微升 |
| 3456 孔 | 1-5 微升 |
通常情况下,高密度规格的微孔板(如 1536 孔和 3456 孔)无法手动移液,必须使用移液工作站。384 孔板虽可手动移液,但操作繁琐,一般不推荐。因此,在选择时需权衡:使用 1536 孔或 3456 孔板所增加的操作成本,是否能被实验微型化带来的成本节约所抵消。对于高通量筛选机构而言,通常是划算的,但对大多数生命科学实验室来说,则并非最佳选择。
ELISA 实验常用的微孔板为 96 孔规格,由 12 条独立的 8 孔条组成(见图 3)。这种结构便于单独使用和操作部分孔条。
微孔板可由多种材质制成,最常用的是聚碳酸酯、聚苯乙烯和环烯烃聚合物。材质的选择会影响光线透射率、自发荧光、吸水性和气体交换等性能,进而影响微孔板的适用场景、应用范围和检测质量。
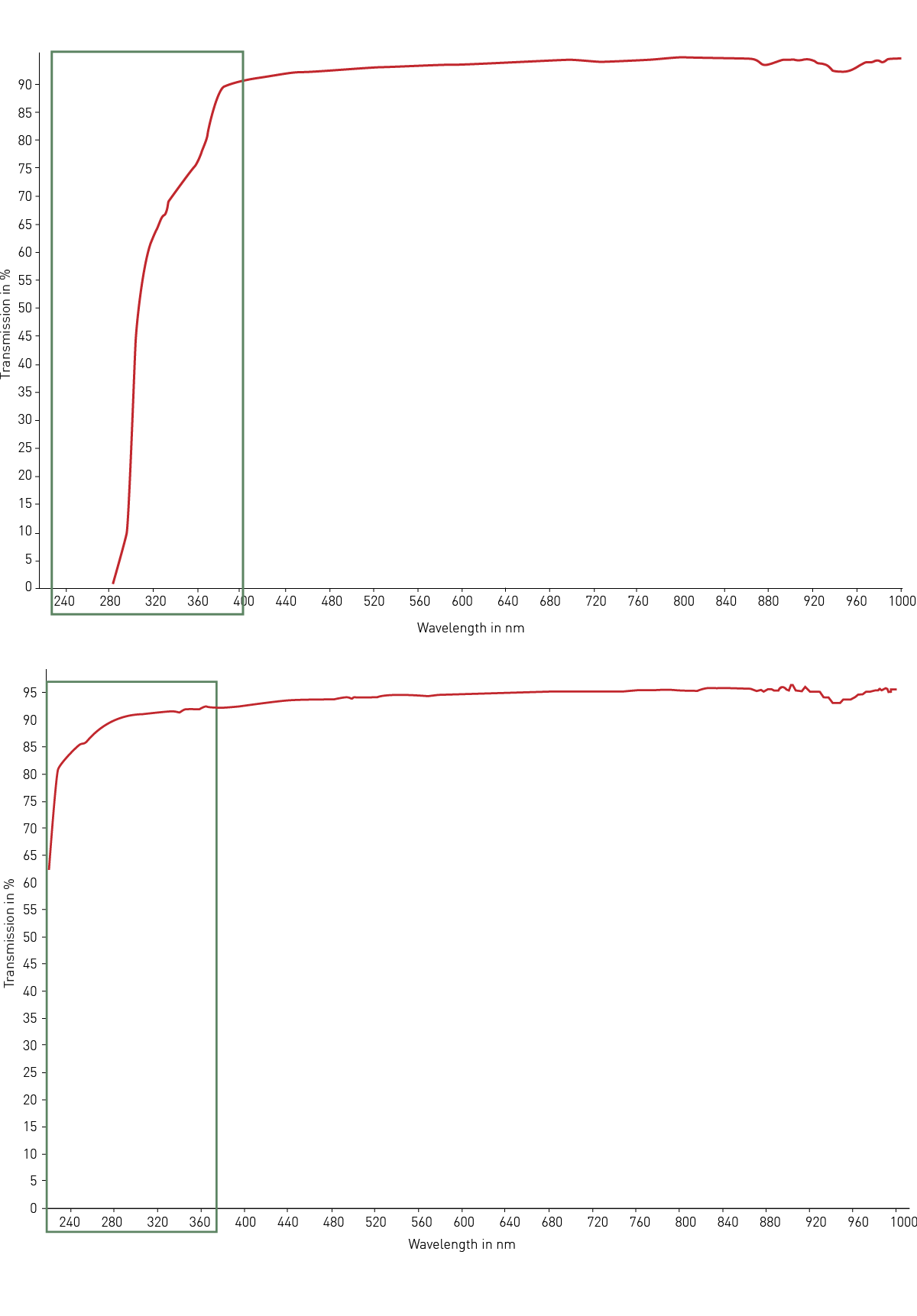
聚苯乙烯是塑料实验室器具中最常用的材质。其透明度高,经适当改性后,可用于光学检测、吸光度实验(如 ELISA)和显微镜观察。但聚苯乙烯无法透射紫外光(波长 < 320 纳米),因此不适用于RNA 和 DNA 定量分析。而环烯烃共聚物(COC)在 200-400 纳米波长范围内的紫外光透射率更高,且自发荧光低(见图 4),适合核酸定量场景。
对于光学实验、显微镜观察以及高内涵筛选,玻璃和石英是最优材质选择,它们在透明度、自发荧光控制和光线透射率方面表现最佳。但这两种材质成本高、易破碎,且通常不可一次性使用。
除光学特性外,吸水性和气体交换对细胞类实验也至关重要。此外,材质的机械性能会影响微孔板操作的便利性,尤其是在自动化系统中的使用。在高温应用场景(如 PCR 板)或需要密封的实验中,材质的热性能也发挥着重要作用。
聚碳酸酯和聚丙烯主要用于制作 PCR 板(见图 5)和需承受较大温度变化的样品储存(如 - 80℃冷冻储存)。除温度稳定性外,这类材质还需具备耐受多种溶剂和生物惰性的特性,以满足不同样品储存需求。
微孔板常见颜色有四种:透明、黑色、白色和灰色(见图 6)。根据检测方式的不同,颜色可能会影响信噪比;当相邻孔分别为高亮度样品和低亮度样品时,还可能影响孔间信号串扰。因此,微孔板颜色选择不当可能会对实验数据产生负面影响。
透明微孔板(包括紫外透明型)适用于吸光度实验,因为这类检测需要光线穿过样品。
黑色微孔板因为碳的存在实现黑色,可部分抑制样品信号(黑色会吸收部分样品发出的光信号)。因此,黑色微孔板适合荧光强度(包括荧光共振能量转移 FRET)和荧光偏振检测。这些检测方式通常信号强度较高,黑色可有效帮助降低背景信号、自发荧光和孔间串扰,从而获得更优的信噪比。
通常不建议将黑色微孔板用于发光、时间分辨荧光(TRF)和时间分辨荧光共振能量转移(TR-FRET)检测 ,因为这些检测方式的信号强度通常较低,黑色会进一步抑制信号。建议使用含有二氧化钛的白板进行这些检测。白色可部分反射样品信号,最大化信号强度。但同时白色微孔板会增加背景信号,不过在发光实验中,背景信号通常较低;而在 TRF 实验中,延迟检测窗口可消除背景信号的影响。
灰色微孔板介于黑色和白色之间,是折中选择,特别推荐用于 AlphaScreen® 和 AlphaLISA® 实验。因为它们在提供良好信号强度的同时还能减少串扰和背景信号。
如果您想详细了解微孔板颜色对不同检测模式下测量结果的影响,并想查看证明其效果的数据,请访问HowTo Note 6:如何为我的检测选择最佳微孔板颜色
孔的形状分为圆形和方形,方形孔又有直角和圆角两种设计。与圆形孔相比,方形孔的样品容纳量更大,且光线透射面积也更大。圆形孔的总面积更小,更适合振荡操作;此外,圆形孔通常不与相邻孔共用孔壁,因此受塑料孔壁传导的孔间信号串扰影响比方形孔更小。
孔底形状主要有四种:平底(F 型)、尖底(V 型)、圆底(U 型)和弧形底(C 型)(见图 7)。
平底(F 型):透光性最好,是贴壁细胞培养的理想选择,适合使用酶标仪或显微镜进行底读检测。
尖底(V 型):锥形设计便于最大限度地回收少而珍贵样品,但锥形结构不适合分光光度法检测或成像实验,因此主要用于样品储存和精准移液。
圆底(U 型):便于样品混合、清洗和包被,且能实现无残留移液,通常用于悬浮细胞和球形细胞培养。
弧形底(C 型):结合了平底和圆底的优势 —— 平底设计适合光学检测,圆角边缘则便于混合和清洗操作。

孔的表面特性至关重要,因为样品与微孔板材质会发生相互作用。市面上的微孔板按表面结合能力主要分为三类:非结合型(或低结合型)、中结合型和高结合型。结合能力受材质物理特性影响,可通过施加不同涂层进行改性。
在生化光谱分析和高通量筛选实验中,无涂层聚苯乙烯是首选材质,属于中结合型。
非结合型微孔板可防止核酸、蛋白质和多肽与孔表面结合。在这种情况下,特定的涂层能降低实验背景信号,提高信噪比。
高结合型微孔板适用于需要将分子固定在孔表面的实验,最典型的应用是 ELISA 实验。这类微孔板通过特定涂层和处理,引入定量的亲水基团,以促进生物分子(如抗体)的被动吸附。中结合型和高结合型微孔板的主要区别在于表面可用极性基团的数量。
有研究通过蛋白酶体活性实验,验证了孔表面涂层对生物实验数据的影响 —— 实验分别使用了非结合型、中结合型和高结合型微孔板,结果显示不同微孔板的实验结果存在差异,表明蛋白酶体实验的性能受微孔板特性影响。该实验使用荧光蛋白酶体底物 7 - 氨基 - 4 - 甲基香豆素(AMC)(一种常用的蛋白酶体检测标记物)来测定蛋白酶体活性。由于结合态和游离态 AMC 的激发光谱与发射光谱不同,可通过荧光酶标仪轻松检测蛋白酶解产生的游离 AMC。实验结果发现,三种类型微孔板的游离 AMC 标准曲线存在显著差异,其中高结合型微孔板的信号最低。因此,在实验前需评估不同微孔板,以确定最适合该实验的类型,并明确可能存在的微孔板特异性影响⁴。
不同的孔表面涂层还可能对液体表面弯月面的形成产生显著影响。弯月面的形成会改变光程长度,进而影响基于吸光度的检测结果,详见《如何处理微孔板中的光程和弯月面》。
普通微孔板不能用于细胞培养和细胞检测,因为它们通常是非无菌的。除了无菌外,还需要进行特殊的亲水表面处理,以促进细胞附着到孔底。这种亲水性处理通常称为 "组织培养处理 "或 TC 处理。此外,还有基于细胞外基质蛋白(如胶原蛋白、纤连蛋白和层粘连蛋白)的涂层,以及合成涂层(如聚赖氨酸)。悬浮细胞、有机体和球形细胞通常需要一个细胞排斥表面。
由于细胞实验有时需要持续数小时甚至数天,孔内细胞培养液的蒸发可能会影响实验结果,最终导致细胞活力下降。部分制造商提供带有外围凹槽的微孔板,凹槽内可加注液体,起到隔热作用,从而防止孔内液体蒸发 —— 尤其能减少边缘孔的蒸发风险(边缘孔蒸发概率更高)。
进行细胞类实验时,通常建议从孔底进行检测,原因如下:普通白色或黑色微孔板无法从底部检测,因此需使用透明底微孔板。孔壁颜色可根据实验需求选择白色或黑色。透明底可由多种材质制成,从塑料(聚苯乙烯或环烯烃共聚物)到玻璃、石英不等。虽然玻璃尤其是石英的检测性能显著优于塑料,但成本也更高;且玻璃和石英微孔板不可一次性使用,每次使用后必须清洗并高压灭菌。因此,在选择时需权衡:与成本低、使用便捷的一次性透明塑料底微孔板相比,高性能但高成本、高维护需求的玻璃 / 石英微孔板是否更符合实验需求。
酶标仪可检测和定量微孔板实验中液体样品产生的光信号,是生命科学和制药行业中用于定量化学、生物或物理反应的实验室仪器。除生物、细胞、生化、制药和药物研发外,酶标仪还广泛应用于环境研究、食品和化妆品行业。
酶标仪分为单功能型和多功能型:单功能酶标仪仅支持一种检测模式,多功能酶标仪则可实现多种检测模式,如吸光度、荧光强度、发光、时间分辨荧光、TR-FRET 、荧光偏振和 AlphaScreen 。根据波长选择方式的不同,酶标仪又可分为光栅型和滤光片型。
使用酶标仪通常能提高实验室操作效率,节约试剂成本,缩短实验时间。如需了解酶标仪的当前应用概况,可参考我们的应用说明数据库。。
尽管有 ANSI/SLAS 标准,但不同制造商生产的微孔板在尺寸和孔位上仍存在细微差异,这可能会影响检测数据。例如,在 384 孔板和 1536 孔板中,分别沿 24 孔列或 48 孔列方向,孔的深度或宽度即使只有微小偏差,也可能导致检测点偏离孔中心,最坏情况下甚至会在两个样品之间的塑料壁上进行检测。
因此,BMG LABTECH 酶标仪内置了微孔板选择数据库,包含来自不同制造商的 50 多种微孔板规格参数。
除酶标仪外,还有多种用于微孔板操作和管理的仪器,这些仪器专为实验室自动化设计。例如:液体处理仪和洗板机用于在不同微孔板间加样或吸液、机械臂和传送带用于在仪器间转运微孔板、堆板机用于短期储存微孔板、板库或培养箱用于长期储存,以及封板机和脱板机用于粘贴和移除密封膜。自动化操作的实例可参考以下视频
综上所述,BMG LABTECH 多功能酶标仪集高性能与微型化实验、自动化操作兼容性、检测时间短等优势于一体,有助于节省耗材和其他资源成本。
Powerful and most sensitive HTS plate reader
Most flexible Plate Reader for Assay Development
Flexible microplate reader with simplified workflows
Upgradeable single and multi-mode microplate reader series